英文名:Mechanistic insights into microbial and metabolomic responses in PAHs-contaminated soil derived from a coal gasification site
主 题:煤气化场地多环芳烃污染土壤中微生物与代谢组响应的机制研究
期 刊:Journal of Cleaner Production
影响因子:10
发表时间:2026年
合作单位:中国矿业大学(北京)
研究背景
煤气化等工业产生的多环芳烃(PAHs)毒性强、易在土壤累积,传统修复技术能耗高、破坏土壤生态。微生物修复因环保低成本成为优选,但现有研究多为小规模实验,缺乏多维度综合分析,PAHs 降解核心机制尚未明确,需针对性探究以优化实际方案。
研究目的
本课题旨在针对煤气化场地多环芳烃(PAHs)污染土壤,通过大型土柱实验模拟实地原位修复条件,应用整合生物强化(接种 PAHs 降解菌 consortium)、生物刺激(补充营养)与间歇生物通风的 BA 修复方案,系统监测 90 天内 PAHs 降解、微生物群落演替、代谢组变化及土壤地球化学指标动态,结合多组学与关联分析,揭示微生物 – 代谢物 – 土壤环境因子的协同作用机制,明确 PAHs 降解的关键代谢通路与功能微生物类群,为 PAHs 污染土壤的高效、可持续修复提供理论支撑与实用技术参考。
方案设计
取材:
- 采样地点:山西太原某退役煤气化场地,该场地运营 40 年(2012 年停运),PAHs 总污染浓度达 57 mg/kg,污染具有典型性。
- 分组设置:分为 BA 处理组(实施综合修复方案)和 CK 对照组(仅初始调湿,无其他处理),形成对照。
- 采样时间节点:实验周期 90 天,分别在 0、7、15、30、45、60、90 天采样,追踪修复动态。
- 采样空间分层:按土柱垂直深度分为表层(S)、上层(U)、中层(M)、下层(L),捕捉不同深度修复差异。
方法:
- 16S rRNA 基因 V3-V4 区;
- 非靶向代谢组学技术
分析:
- 对比 BA 组与 CK 组 90 天内 16 种 PAHs 及低 / 高分子量 PAHs 在不同土壤层的残留变化,量化高浓度污染物的去除效率与降解速率差异。
- 基于 16S rRNA 基因测序,分析两组微生物群落多样性、物种组成变化,聚焦功能降解菌富集特征与 BA 处理特异性标志物。
- 通过非靶向代谢组学筛选两组差异代谢物,追踪 PAHs 降解关键中间体动态,解析相关代谢通路的激活情况。
- 借助 Mantel 检验与共现网络分析,量化 PAHs 降解、微生物群落、代谢物及土壤环境因子间的相关性,阐明协同降解机制。
结果:
- BA 处理,显著提升煤气化场地污染土壤中低 / 高分子量 PAHs 的降解效率,尤其对难降解高环 PAHs 效果突出。
- BA 处理通过提高土壤有效磷含量、激活脱氢酶与 FDA 水解酶活性,为 PAHs 降解提供了适宜的土壤环境与代谢动力。
- BA 处理重构了土壤微生物群落,显著提升群落丰富度与均匀度,促进 Achromobacter、Rhodococcus 等功能降解菌富集并成为特异性标志物。
- BA 处理激活了 PAHs 氧化转化相关代谢通路,富集芘 – 1,6 – 二酮等关键降解中间体,同时优化碳氮磷代谢循环,推动污染物从初步分解到矿化的完整过程。
- 微生物 – 代谢物 – 土壤环境因子(有效磷、酶活性等)的协同作用是 BA 处理实现高效生物修复的核心机制,为 PAHs 污染土壤的可持续修复提供了理论支撑与技术参考。
具体研究结果
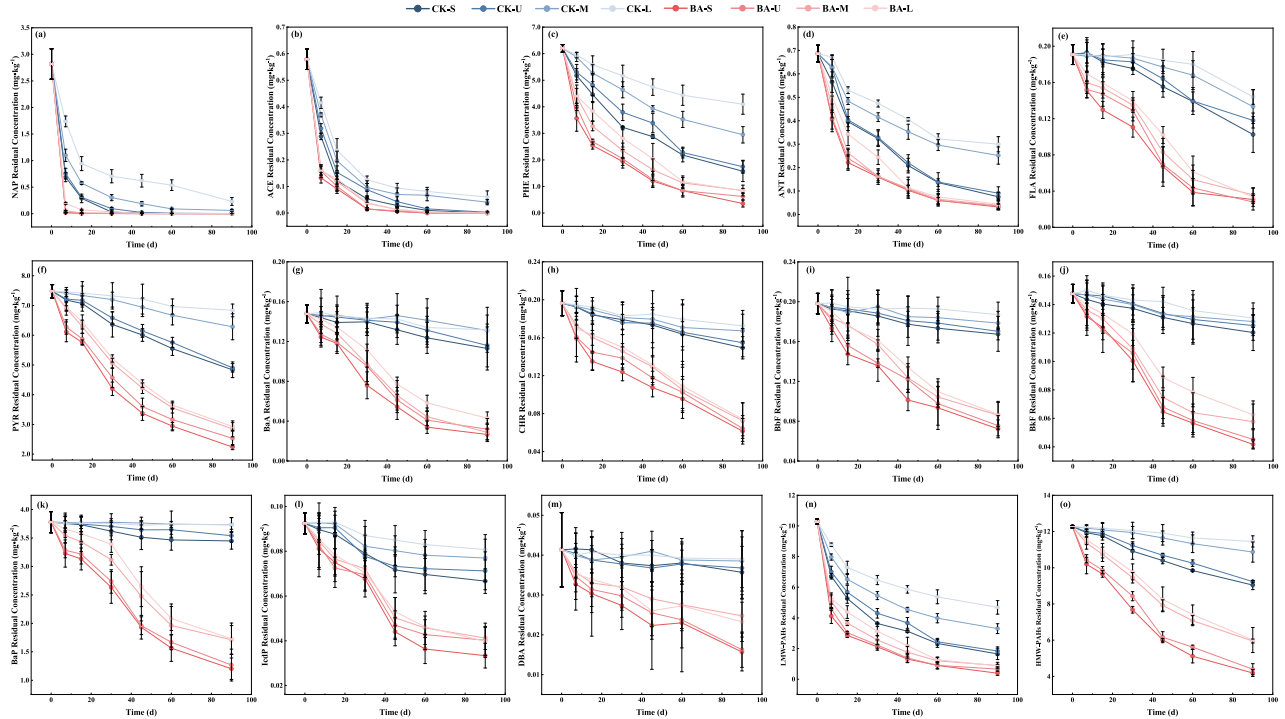
♦ 修复过程中多环芳烃(PAHs)分布特征变化
- 90 天培养期内,BA 处理组与 CK 对照组的 PAHs 降解效果存在显著差异。
- BA 处理可提升所有土层的 PAHs 去除率,其中表层和上层土壤的降解效果最显著。
- 两组处理中,低分子量 PAHs(LMW-PAHs)的降解速率均高于高分子量 PAHs(HMW-PAHs)。
- BA 处理下,各深度土层的 LMW-PAHs 持续减少,90 天时去除率超 90%;CK 组深层土壤仍残留大量 LMW-PAHs,去除率不足 55%。
- 针对 HMW-PAHs,BA 组上层土壤去除率约 65%,深层土壤超 50%;CK 组整体去除率普遍低于 30%。
- 多种次要 PAHs(包括苊烯、苊、芴、蒽、荧蒽、屈、苯并 [b] 荧蒽、苯并 [k] 荧蒽、茚并 [1,2,3-cd] 芘)呈现化合物特异性降解模式,BA 组上层土壤中多数这类 PAHs 去除率中等至较高,且随深度增加降解效果减弱,CK 组对高环次要 PAHs 的降解作用有限。
- 四种主要 PAHs(萘、菲、芘、苯并 [a] 芘)的降解在两组间差异明显:BA 组萘在 30 天时各土层去除率超 99%,菲 90 天去除率超 90%,芘去除率达 47%-64%,苯并 [a] 芘上层土壤去除率约 65%、深层 50%-55%;CK 组萘降解速率较慢,菲深层土壤降解受限,芘去除率不足 10%,苯并 [a] 芘浓度接近初始水平。
总体而言,BA 处理显著提升了整个土柱中 LMW-PAHs 和 HMW-PAHs 的降解效果,对难降解的三环及以上 PAHs 的强化降解作用尤为突出,彰显了该综合微生物修复方案的有效性。
♦ 土壤修复过程中的地球化学变量
- 为评估生物修复期间的地球化学响应,对 CK 对照组和 BA 处理组 90 天内的土壤有机质(SOM)、碱解氮(AH-N)、有效磷(AP)、荧光素二乙酸酯(FDA)水解酶活性及脱氢酶(DH)活性进行了监测。
- 两组处理在营养动态和微生物活性上呈现明显的时空差异。
- 土壤有机质(SOM)变化趋势相反:CK 组所有土层 SOM 逐渐升高,90 天时中层(CK-M)和下层(CK-L)分别达 30 g/kg 和 17.17 g/kg;BA 组 SOM 在最初 7 天因接种菌剂和营养液引入有机碳而略有上升,随后下降,表层(BA-S)和中层(BA-M)降幅最显著,从第 7 天的 13.13 g/kg 和 12.19 g/kg 降至第 90 天的 9.43 g/kg 和 8.41 g/kg。
- 碱解氮(AH-N)方面:CK 组全程浓度相对稳定;BA 组修复初期 AH-N 急剧升高( upper 和中层尤为明显),如上层(BA-U)从第 0 天的 63 mg/kg 升至第 15 天的 50.47 mg/kg,且全程维持在 47 mg/kg 以上。
- 有效磷(AP)方面:CK 组 AP 水平小幅波动且始终低于 50 mg/kg;BA 组前 15 天 AP 显著升高,中层(BA-M)在第 60 天达峰值 24 mg/kg,后期仍显著高于 CK 组(p<0.05),体现强化生物修复条件下磷有效性提升。
- FDA 水解酶活性:CK 组适度升高,最终值为 00-4.12 μg g⁻¹ DW・min⁻¹;BA 组快速且持续增强,表层(BA-S)和中层(BA-M)第 15 天分别达 7.21 μg g⁻¹ DW・min⁻¹ 和 4.60 μg g⁻¹ DW・min⁻¹,且维持至第 90 天。
- 脱氢酶(DH)活性:CK 组逐渐升高但始终低于 0 mg TPF・g⁻¹ DW・h⁻¹;BA 组初期即显著提升,表层(BA-S)第 45 天达峰值 9.23 mg TPF・g⁻¹ DW・h⁻¹,中层(BA-M)和下层(BA-L)在 30-90 天维持在 4.5 mg TPF・g⁻¹ DW・h⁻¹ 以上。

♦ 土壤微生物群落的变化与互作分析
施加的修复处理对土壤微生物群落组成和多样性产生了显著影响。
- Alpha 多样性指数呈现组间差异:CK 组前 60 天 Chao1 指数相对稳定,90 天时中层和下层升高,Shannon 和 Simpson 指数逐渐上升;BA 组微生物丰富度和均匀度显著提升,90 天时表层(S)、上层(U)、中层(M)、下层(L)的 Chao1 指数分别达 747、1188、1473 和 928。
- PCoA 分析显示,所有时间点上 CK 组与 BA 组微生物群落均呈明显聚类分离,表明生物强化和营养添加显著重构了微生物群落,且 BA 组群落时间演替更显著,修复期间群落周转更强。
- 门水平上,变形菌门(Proteobacteria)、放线菌门(Actinobacteriota)和厚壁菌门(Firmicutes)为优势菌群:变形菌门在所有样本中占主导(相对丰度 1%-71.6%),且 BA 组显著高于 CK 组(p<0.05);放线菌门从初始 31.3% 下降后,在两组中均维持在 5.3%-28.7%;厚壁菌门在两组中均呈上升趋势,从初始 8.8% 升至最高 24.6%。
- 属水平上,多个优势类群呈现处理特异性富集:引入的降解菌无色杆菌属(Achromobacter)在 BA 组显著增加,60 天时中层和下层相对丰度分别达 3% 和 5.9%,CK 组则低于 1%,且被 LEfSe 分析鉴定为 BA 组特异性标志物。
- 已知 PAH 降解菌红球菌属(Rhodococcus)在 BA 组相对丰度显著升高(p<0.05),60 天时在表层(BA-S)达峰值;CK 组未检测到的赖氨酸芽孢杆菌属(Lysinibacillus)在 BA 组成功定殖,相对丰度为 02%-0.96%。
- BA 组还富集了假单胞菌属(Pseudomonas)、鞘氨醇单胞菌属(Sphingomonas)等其他属,表明强化修复条件下引入的降解菌和本土烃降解类群均被选择性富集。
总体而言,BA 处理通过提高微生物多样性、改变群落组成、促进 PAHs 降解相关功能类群富集,显著重构了土壤微生物群落。
♦ BA 处理期间的代谢组学响应
- 非靶向代谢组共检测到 6418 个峰,其中 1097 种代谢物成功注释。
- 正交偏最小二乘判别分析(OPLS-DA)显示,两个时间点上 CK 组与 BA 组样本均呈现明显分离,第 30 天和第 90 天的第一预测主成分(T1)分别解释了 6% 和 40.2% 的总方差。
- 火山图分析鉴定出显著差异代谢物(DEMs):第 30 天有 270 种(164 种上调、106 种下调),第 90 天有 313 种(152 种上调、161 种下调),表明 BA 处理诱导土壤代谢通路发生时间依赖性重编程。
- KEGG 注释热图显示 PAHs 降解相关关键代谢变化:菲 – 1,2 – 氧化物(C11431)、芘 – 1,6 – 二酮(C18257)等芳香环氧化上游中间体在 BA 组持续富集,1 – 羟基 – 2 – 萘甲酸(C03203)等中间体则显著减少。
- 6,7 – 苯并香豆素(C16211)在第 30 天大量积累、第 90 天下降,提示开环步骤存在时间动态调控;水杨酸(C00805)第 30 天上调、第 90 天下降,邻苯二甲酸(C01606)保持稳定,表明 BA 处理促进污染物从初步分解向后期矿化推进。
- 碳氮磷(CNP)循环相关代谢物对 BA 处理响应显著:D – 葡萄糖(C00031)大幅减少(可能因微生物消耗增加),O – 乙酰 – L – 丝氨酸(C00979)升高而 N – 乙酰 – L – 谷氨酸(C00624)下降(提示氮周转活跃)。
- 磷相关代谢物(胞苷 C00475、胸苷 C00214 等)全程富集,黄苷(C01762)仅第 30 天升高,这些代谢调整通过激活 PAHs 分解途径和改善营养循环,提升了 BA 处理的生物修复效率。

♦ 多环芳烃(PAHs)降解、微生物群落、代谢物与地球化学变量的相关性分析
- 曼特尔检验显示,PAHs 降解与 AP(Mantel 相关系数 r=0.580)、FDA(r=0.765)呈强相关(p<0.01),与 SOM(r=0.364)、DH(r=0.310)呈中等相关(p<0.05)。
- 差异代谢物(DEMs)与 AP、FDA、DH 均呈强相关(r 值分别为 717、0.568、0.626),且与 PHE、PYR、BaP 的降解呈显著相关(r 值分别为 0.466、0.507、0.641;p<0.01)。
- 属水平微生物群落结构与 Achromobacter、Rhodococcus、Lysinibacillus 的相对丰度呈显著相关(r 值分别为 614、0.655、0.512;p<0.01),微生物多样性与 PAHs(尤其 PHE、PYR、BaP)降解也呈强相关性。
- 冗余分析(RDA)表明,AP、DH、FDA 是与 BA 处理相关的主要环境因子;且高分子量 PAHs(如 PYR、BaP)对微生物群落结构的影响大于低分子量 PAHs。
- 构建共现网络发现,代谢物是连接微生物类群与 PAHs 的主要纽带,接种的降解菌属与芘 – 1,6 – 二酮等多种 PAHs 转化产物呈正相关。
综上,关键 PAHs 相关代谢物的变化与微生物活性密切相关,共同构成连贯的降解通路。
结论
本研究表明,整合生物强化与生物刺激的 BA 修复方法可显著提升多环芳烃(PAHs)降解效率,代谢组学分析揭示了 PAHs 降解关键中间体的动态变化,显示微生物氧化转化通路被激活,KEGG 功能富集反映了土壤微生物群落的功能转变与代谢适应性,PAHs 去除率、差异代谢物(DEMs)与有效磷(AP)、脱氢酶(DH)、荧光素二乙酸酯(FDA)水解酶活性等环境因子存在强相关性,接种降解菌属与 PAHs 降解关键代谢物密切关联且微生物类群与代谢物间存在协同作用,这些发现为 PAHs 污染土壤的微生物修复机制提供了新见解并强调了降解菌、代谢物与土壤地球化学间的生态协调性,未来需在实地条件下评估该修复策略的适用性并通过多组学技术验证关键功能通路,同时需进一步评估中间体代谢物的潜在生态风险以保障长期环境安全。
参考文献:Ben Zhang , Jianli Jia a, et al. Mechanistic insights into microbial and metabolomic responses in PAHs-contaminated soil derived from a coal gasification site[J]. Journal of Cleaner Production, 2026, 147528.






京公网安备 11011302003368号